Jumat, 02 September 2022

Set Data (Jarak (minkowski))

Di posting kali ini saya akan mencontohkan perhitungan jarak menggunakan minkowski distance.

Saya memiliki 2 buah data.

Data ini terdiri dari data X dan data Y.

Data X terdiri dari = 5, 3, 1, 0, 1

Data Y terdiri dari = 1, 0, 3, 4, 2

r = 4



Data tersebut akan kita hitung jaraknya menggunakan minkowski distance.

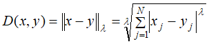
Rumus yang akan kita gunakan adalah :


Untuk perhitungan minkowski terdapat pangkat yaitu r yang bernilai 1/r

Untuk melakukan perhitungan sebagai berikut :


Penjelasannya adalah :


  • 7 = adalah angka pertama dari data X
  • 1 = adalah angka pertama dari data Y
  • Jadi rumusnya data pertama milik X dikurangi data pertama milik Y dan begitu pula seterusnya

Sehingga perhitungan selanjutnya adalah seperti ini :


Penjelasannya adalah :
  • 1/r adalah pangkat yang akan dilakukan perhitungan terakhir
  • r disini bernilai 4 (bisa bernilai berapa saja)
Jadi, jarak kedua data dengan menggunakan minkowski distance adalah 0,5

Tidak ada komentar:

Posting Komentar